

咨询热线:18151922896
联系电话:025-84312185
传真:025-84312185
网址:
邮箱:juhangvsr@163.com
地址:南京市光华路156号
taptap点点官网登录入口
我们经常会听到客户在问“利用钻孔法测量残余应力的仪器是什么?它的原理是什么?它有哪些优点?”今天南京点点备用网址就为大家答疑解惑。
利用钻孔法测量残余应力的仪器是什么?
这种设备是残余应力检测仪,是采用盲孔法测量残余应力的专用仪器,也就是客户所说的钻孔法测量残余应力。使用机械法测量残余应力会对工件产生创伤,例如切割法和环芯法,而盲孔法对工件的破坏较小,因而盲孔法测残余应力又被称为半无损法。是目前测量残余应力运用*多的方法。
我们公司的JH-30残余应力检测仪就是采用盲孔法测量残余应力的专用仪器,适用于对各种材料和结构的残余应力的分析和研究,还可作为在静力强度研究中测量结构及材料任意点变形的应变分析仪器。
盲孔法测残余应力的原理是什么?
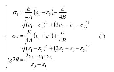
盲孔法测量残余应力的原理如图1所示,假设一个各向同性材料上某一区域内存在一般状态的残余应力场,其*大、*小主应力分别为σ1和σ2,在该区域表面上粘贴一专用应变花,在应变花*心打一小孔,引起孔边应力释放,从而在应变花丝删区域内产生释放应变,根据应变花测量的释放应变就可以计算出残余应力:
式(1)中: ε1、ε2、ε3 — 三个方向释放应变;
σ1、σ2 — *大、*小主应力;
θ— σ1与的夹角; E — 材料弹性模量;
B —释放系数。
其中A、B系数与钻孔的孔径、应变花尺寸、孔深有关。
残余应力检测仪有哪些优点?
由于其打孔直径小,对材料破坏性较小,可以测量范围较小的应力,可以广泛地应用于各种*部件和构件的实际测量中。适用于测量梯度变化比较大的残余应力场。
JH-30残余应力检测仪体积小,重量轻,携带方便,操作简单,广泛应用于工矿企业、大专院校、科研院所。它是以单片机为中*微处理机,采用高精度测量放大器、高速数据采集和处理器,测量中无需调*,残余应力测量简单快捷。配有数字显示和微型打印机,在测量应变值的同时能直接计算、打印出残余应力值,实现了残余应力测量的自动化。
以上就是残余应力检测仪的相关介绍,如果你对JH-30残余应力检测仪还有其他疑问,可随时拔打南京点点备用网址的热线,我们欢迎您的选购!